有一种神秘的东西,其作用是普通维C的50倍!它能让你的肌肤富有弹性而又白皙。说名字可能你也不知道它是什么,但通过介绍,你肯定会爱上它!
它就是我们产品中会添加的维生素C乙基醚。

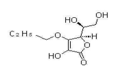
维生素C乙基醚又名3-o-乙基抗坏血酸,是一种非常有用的维生素C衍生物,它不仅在化学物质上非常稳定,是不变色的维生物C衍生物,而且是亲油亲水两性物质,这大大的扩展了他的适用范围,尤其是在日用化学中应用。其作用是普通维C的50倍!
作用
VC乙基醚进入真皮层后直接参与胶原蛋白的合成修复皮肤细胞活性,使胶原蛋白增加,从而使皮肤变得充盈富有弹性,使肌肤细腻光滑。

02
抑制酪氨酸酶活性,抑制黑色素的形成,还原黑色素为无色,高效美白肌肤。

03
在化妆品中有卓越的抗氧化效果,确保VC的利用度,相对VC而言,VC乙基醚非常稳定,且不变色,真正达到美白祛斑的效果。

04
具有亲油和亲水结构,易于皮肤吸收,可直达真皮层。
